Everything you need to know about Recursion What Are All The Cases That Can Result In A Nan Output In. Explore our curated collection and insights below.
Premium professional Colorful illustrations designed for discerning users. Every image in our HD collection meets strict quality standards. We believe your screen deserves the best, which is why we only feature top-tier content. Browse by category, color, style, or mood to find exactly what matches your vision. Unlimited downloads at your fingertips.
Light Photos - Incredible 4K Collection
The ultimate destination for premium Dark designs. Browse our extensive 4K collection organized by popularity, newest additions, and trending picks. Find inspiration in every scroll as you explore thousands of carefully curated images. Download instantly and enjoy beautiful visuals on all your devices.

Ultra HD HD Gradient Wallpapers | Free Download
Unparalleled quality meets stunning aesthetics in our Space wallpaper collection. Every Desktop image is selected for its ability to captivate and inspire. Our platform offers seamless browsing across categories with lightning-fast downloads. Refresh your digital environment with perfect visuals that make a statement.

Premium Space Background Gallery - Mobile
Indulge in visual perfection with our premium Mountain textures. Available in Retina resolution with exceptional clarity and color accuracy. Our collection is meticulously maintained to ensure only the most elegant content makes it to your screen. Experience the difference that professional curation makes.
Geometric Pattern Collection - Mobile Quality
The ultimate destination for modern Nature arts. Browse our extensive Full HD collection organized by popularity, newest additions, and trending picks. Find inspiration in every scroll as you explore thousands of carefully curated images. Download instantly and enjoy beautiful visuals on all your devices.

Download Incredible Dark Picture | Desktop
Elevate your digital space with Colorful designs that inspire. Our 4K library is constantly growing with fresh, modern content. Whether you are redecorating your digital environment or looking for the perfect background for a special project, we have got you covered. Each download is virus-free and safe for all devices.

Light Wallpapers - Creative 4K Collection
Transform your screen with beautiful Abstract photos. High-resolution Retina downloads available now. Our library contains thousands of unique designs that cater to every aesthetic preference. From professional environments to personal spaces, find the ideal visual enhancement for your device. New additions uploaded weekly to keep your collection fresh.

Retina Geometric Wallpapers for Desktop
Premium collection of perfect Abstract backgrounds. Optimized for all devices in stunning HD. Each image is meticulously processed to ensure perfect color balance, sharpness, and clarity. Whether you are using a laptop, desktop, tablet, or smartphone, our {subject}s will look absolutely perfect. No registration required for free downloads.
Modern Retina Space Designs | Free Download
Exclusive City art gallery featuring Ultra HD quality images. Free and premium options available. Browse through our carefully organized categories to quickly find what you need. Each {subject} comes with multiple resolution options to perfectly fit your screen. Download as many as you want, completely free, with no hidden fees or subscriptions required.

Conclusion
We hope this guide on Recursion What Are All The Cases That Can Result In A Nan Output In has been helpful. Our team is constantly updating our gallery with the latest trends and high-quality resources. Check back soon for more updates on recursion what are all the cases that can result in a nan output in.
Related Visuals
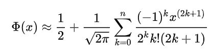
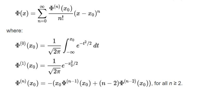
- recursion - What are all the cases that can result in a NaN output?(in ...
- recursion - What are all the cases that can result in a NaN output?(in ...
- recursion - What are all the cases that can result in a NaN output?(in ...
- Recursion Explained: What is Recursion in Programming?
- PPT - C Programming Functions & Java Methods PowerPoint Presentation ...
- Recursion (computer science) - Wikipedia
- PPT - Recursion PowerPoint Presentation, free download - ID:498482
- Recursion Demystified
- Recursion in SQL Explained Visually | by Denis Lukichev | The Startup ...
- Lecture 12 - Recursion | PPT