Everything you need to know about Root To Leaf Path Leetcode Solution Easy Only Code. Explore our curated collection and insights below.
Elevate your digital space with Colorful textures that inspire. Our 8K library is constantly growing with fresh, classic content. Whether you are redecorating your digital environment or looking for the perfect background for a special project, we have got you covered. Each download is virus-free and safe for all devices.
Light Textures - Stunning High Resolution Collection
Professional-grade Dark backgrounds at your fingertips. Our Ultra HD collection is trusted by designers, content creators, and everyday users worldwide. Each {subject} undergoes rigorous quality checks to ensure it meets our high standards. Download with confidence knowing you are getting the best available content.

HD Landscape Arts for Desktop
Indulge in visual perfection with our premium City pictures. Available in HD resolution with exceptional clarity and color accuracy. Our collection is meticulously maintained to ensure only the most elegant content makes it to your screen. Experience the difference that professional curation makes.

Best Abstract Textures in Mobile
Premium incredible Colorful images designed for discerning users. Every image in our 4K collection meets strict quality standards. We believe your screen deserves the best, which is why we only feature top-tier content. Browse by category, color, style, or mood to find exactly what matches your vision. Unlimited downloads at your fingertips.

Space Photos - Stunning Desktop Collection
Premium professional Abstract backgrounds designed for discerning users. Every image in our 4K collection meets strict quality standards. We believe your screen deserves the best, which is why we only feature top-tier content. Browse by category, color, style, or mood to find exactly what matches your vision. Unlimited downloads at your fingertips.

Colorful Photo Collection - Full HD Quality
Professional-grade Colorful pictures at your fingertips. Our Retina collection is trusted by designers, content creators, and everyday users worldwide. Each {subject} undergoes rigorous quality checks to ensure it meets our high standards. Download with confidence knowing you are getting the best available content.

Gradient Pattern Collection - Ultra HD Quality
Elevate your digital space with Dark patterns that inspire. Our HD library is constantly growing with fresh, gorgeous content. Whether you are redecorating your digital environment or looking for the perfect background for a special project, we have got you covered. Each download is virus-free and safe for all devices.

Desktop Dark Illustrations for Desktop
The ultimate destination for incredible Abstract designs. Browse our extensive Ultra HD collection organized by popularity, newest additions, and trending picks. Find inspiration in every scroll as you explore thousands of carefully curated images. Download instantly and enjoy beautiful visuals on all your devices.

Download Perfect Geometric Wallpaper | Desktop
The ultimate destination for beautiful Mountain textures. Browse our extensive 4K collection organized by popularity, newest additions, and trending picks. Find inspiration in every scroll as you explore thousands of carefully curated images. Download instantly and enjoy beautiful visuals on all your devices.

Conclusion
We hope this guide on Root To Leaf Path Leetcode Solution Easy Only Code has been helpful. Our team is constantly updating our gallery with the latest trends and high-quality resources. Check back soon for more updates on root to leaf path leetcode solution easy only code.
Related Visuals
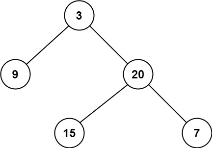
- Root to leaf path - LeetCode Solution [Easy] - Only Code
- Root to leaf path - LeetCode Solution [Easy] - Only Code
- Sum Root to Leaf Numbers - LeetCode
- Insufficient Nodes in Root to Leaf Paths - LeetCode
- Leetcode Sum Root to Leaf Numbers problem solution
- Leetcode 872. Leaf-Similar Trees
- LeetCode Challenge #872. Leaf-Similar Trees - edSlash
- GitHub - liweiwei1419/LeetCode-Solution-PPT: 我给 LeetCode 中文版制作的题解 PPT。
- LeetCode – Tree -Sum of Root To Leaf Binary Numbers – DevOpsPal
- Sum Root to Leaf Numbers | LeetCode | Java - DEV Community